四柱液压机适用于各种可塑性材料的压制,如冲压、弯曲、翻边、薄板拉伸等。其工作过程如下:上液压缸驱动上滑块,实现“快速下行-慢速加压-保压延时-释压换向-快速返回-原位停止”的动作循环;下液压缸驱动下滑块,实现“向上顶出-停留-向下退回-原位停止”的动作循环。见图1。
图1四柱液压机动作循环图
1液压系统设计
1.1初选系统工作压力
压力的选择要根据载荷大小和设备类型而定。表1、2列出了根据最大负载和主机类型选定初始压力的参数值。根据表l、2对3 500kN液压机选择压力为26MPa。

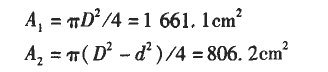
1.2计算四柱液压机液压缸的主要结构尺寸选择系统工作压力为26MPa,使液压缸无杆腔的工作面积A。为有杆腔的工作面积A:的2倍,即活塞杆直径d与缸筒D为d=0.707D的关系,选择背压P:=0.8MPa,并由工进时的推力计算液压缸的面积。



根据GB2348-80,将这些直径圆整成标准值,得D=46cm,d=33cm。由此液压缸两腔的实际有效面积为
1.3制定系统方案
(1)执行机构的确定。四柱液压机动作机构分为上液压缸和下液压缸即顶出缸两部分,均为直线往复运动,所以采用单活塞杆双作用液压缸直接驱动。
(2)四柱液压机液压缸的动作回路。上液压缸要实现快速下降、慢速下行、保压延时、释压换向、快速返回、原位停止的动作;下液压缸要实现向上顶出、停留、向下退回、原位停止的动作。其运动方向由电液换向阀直接控制,快速运动时需要有较大流量供给。慢速运动时只需要小流量供给即可。
(3)四柱液压机上液压缸的动作回路。在上液压缸快速返回时,为了使四柱液压机动作平稳,不会在换向时产生冲击和噪声,采用释压阀对液压缸上腔进行释压。
(4)安全措施。为了保证对上缸和下缸进行过载保护,特分别加了安全阀。
(5)液压源的选择。该系统采用泵作为液压源。
1.4液压系统的合成
根据上述,拟定四柱液压机液压系统原理图如图2所示。

l-下液压缸2-下缸换向阀3-先导阀4-溢流阀5-上液压缸6-副油箱7-上缸换向阀8-压力继电器9-释压阀10-顺序阀ll-溢流阀12-减压阀13-下缸溢流阀14-下缸安伞阀15-上滑块16-行程开关17-远程调压阀18-油泵图2四柱液压机液压系统原理图
迅速下降。由于液压泵的流量较小,这时四柱液压机顶部储油箱6中的油液经液控单向阀I。也流人上液压缸5上腔内。
(2)慢速加压。在上滑块接触工件时开始,此时上液压缸5上腔压力升高,液控单向阀I。自动关闭,变量泵供油,实现慢速加压,油液流动情况与快速下行时相同。
(3)保压延时。当上液压缸5上腔油压达到调定值时,压力继电器8动作,一方面使电磁铁1YA断电,另一方面使时间继电器(图中未画出)动作,实现保压延时。保压时除了液压泵在较低压力下卸荷外,系统中没有油液流动。
(4)快速返回。保压结束,时间继电器动作,电磁铁2YA通电,先导阀3右位接人系统,释压阀9使上缸换向阀7也从右位接入系统,此时快速返回开始。这时,液控单向阀11被打开。当储油箱6内液面超过预定位置时,多余油液由溢流管流回主油箱(图中未画出)。
(5)原位停止。当上滑块上升至挡块15撞着行程开关16时,电磁铁2YA断电,先导阀3和上缸换向阀7都处于中位时,原位停止阶段开始。这时上滑块停止不动,液压泵在低压力下卸荷,系统中的油液流动情况与保压延时相同。
在这里应注意的是释压阀9的作用和其工作原理。释压阀9是为了防止保压状态向快速返回状态转变过快,在系统中引起压力冲击并使上滑块动作不平稳而设置的;它的主要功用是使液压缸上腔释压后,压力油才能通人该缸下腔。
四柱液压机下滑块的工作情况介绍如下。
向上顶出。此时电磁铁4YA通电。
停留。下滑块上移至下液压缸l中的活塞碰上缸盖时,便停留在这个位置上。
向下退回。当电磁铁4YA断电、3YA通电时,下滑块向下退回。
原位停止。在电磁铁3YA、4YA都断电时,下缸换向阀2处于中位时下液压缸1原位停止。
1.6液压元件的选用及设计
采用轴向柱塞泵,且根据系统压力的选择,泵的型号选择为160ZCYl4.1B型斜盘轴向柱塞泵,转速n=1 000r/rain,功率P.=91.5kW。
电动机的选择。驱动电动机所需的功率为

选取电动机的型号为Y315M2-6。额定功率为1 10kw,转速为990r/rain。油箱的有效容积(液面高度为油箱高度80%时的容积)应根据液压系统发热、散热平衡的原则来计算,这项计算在系统负载较大、长期连续工作时是必不可少的。但一般情况下,油箱的有效容积可按液压泵的额定流量Q。(L/min)估计出来。例如,适用于机床或其它一些固定式机械的估算式为
V=f·Q。
式中:y为油箱的有效容积,L:f为与系统压力有关的经验值,低压系统f=2-4,中压系统孝=5-7,高压系统f=lO~12。.文中f取ll时,得到油箱的有效容积为V=11×160=1 760L。
各种阀及其它元件的型号选择,可根据设计要求及有关确定元件的尺寸,查相关手册或产品目录列于表3,其中各序号与图2中相同。



1.7 系统发热温升计算
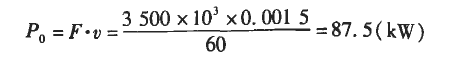
(1)系统发热功率P,Pt=Pi—Po
式中:P;为液压泵输入功率,kW;P0为四柱液压机液压执行元件的输入功率,kW。
由于工进在整个工作循环中所占的时间最多,以系统发热和油液温升可用工进时的情况来计算:

泵的输入功率为温升没有超出允许范围,四柱液压机液压系统中不需设置冷却器。
2结论
四柱液压机的液压系统按照3 500kN的要求设计,使液压机能够准确完成预定的动作顺序和工艺流程。